礼德财富 2018.7.31-17:47……关于提醒逾期借款人勿恶意逃废债的公告……在此郑重提请借款人/担保方尽快履行还款义务。若拒不履行还款义务的,将在生活、工作中遭受如下种种限制……请借款人予以重视,请勿出现恶意逃废债行为,否则,借款人除了需要承担逾期还款的违约责任外,还可能面临刑事责任(拒不执行判决、裁定罪)
——
关于提醒逾期借款人勿恶意逃废债的公告 2018-07-31 17:46:26
截止2018年7月31日,经我司风控部门与合作方及借款企业核实,有部分借款不能按时归还本息,因此导致部分借款人的回款延误。为更好地协助出借人通过法律途径尽快追回出借款项,维护出借人的合法权益,我司现已委托律师事务将申请仲裁的资料提交至广州市仲裁委员会,要求借款人尽快清偿出借人的资金。
为了挽回出借人的资金损失,平台会积极推进相关工作,同时也在此郑重提请借款人/担保方尽快履行还款义务。若拒不履行还款义务的,将在生活、工作中遭受如下种种限制:
1、需加倍支付迟延履行期间的债务利息和支付迟延履行金;
2、借款人的存款、收入、股票、车辆、土地、房产等财产可依法被人民法院强制执行;
3、出入境遭到限制或禁止;
4、将被限制如下高消费:乘坐交通工具时,选择飞机、列车软卧、轮船二等以上舱位;在星级以上宾馆、酒店、夜总会、高尔夫球场等场所进行高消费;购买不动产或者新建、扩建、高档装修房屋;租赁高档写字楼、宾馆、公寓等场所办公;购买非经营必需车辆;旅游、度假;子女就读高收费私立学校;支付高额保费购买保险理财产品;乘坐G字头动车组列车全部座位、其他动车组列车一等以上座位等其他非生活和工作必需的消费行为。
5、逾期借款人的信息将报送至各征信机构,借款人的征信记录将受到影响。
请借款人予以重视,请勿出现恶意逃废债行为,否则,借款人除了需要承担逾期还款的违约责任外,还可能面临刑事责任(拒不执行判决、裁定罪)。
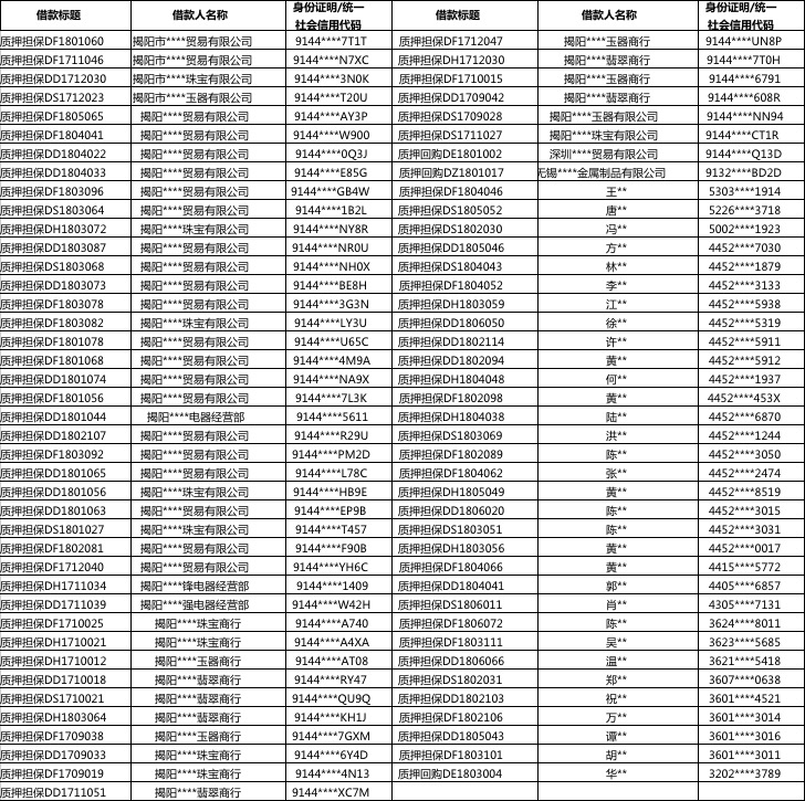
现将部分逾期项目的相关信息公布如下:

广州礼德互联网金融信息服务有限公司
2018年7月31日
发表回复