付融宝 2018.8.28-17:04……付融宝个人贷第一期逾期名单公布……我们呼吁以下借款人尽快依法履约,遵循契约精神,避免失信
——
付融宝个人贷第一期逾期名单公布
付融宝 今天
最近,监管接连出政策,严打恶意逾期的老赖。8月2日,国家发改委与人民银行联合发布《关于对失信主体加强信用监管的通知》,要求加大失信成本,鼓励修复信用,全社会共同监督。
在此,我们呼吁以下借款人尽快依法履约,遵循契约精神,避免失信。同时向广大付融宝出借人呼吁,帮人即是帮己,我们共同努力,全力追讨出借资金。
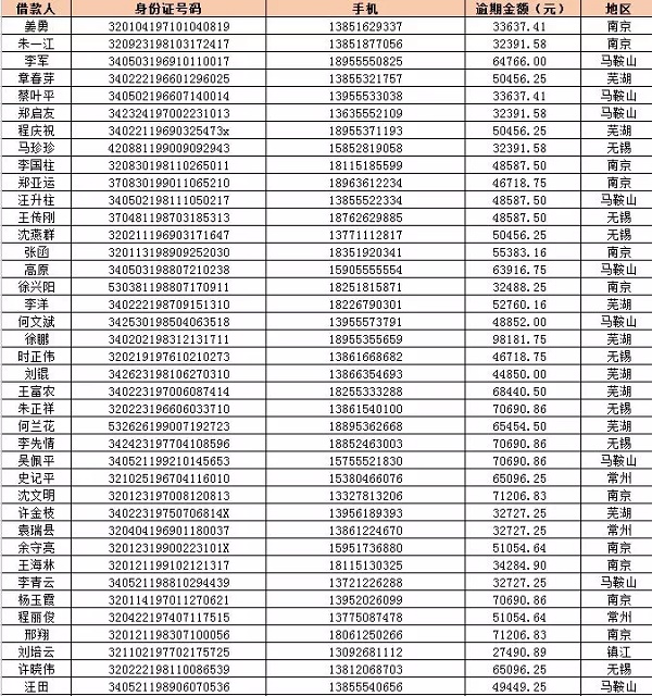
以下为付融宝个人贷第一期逾期名单

小付有话说
今天是照例接待出借人的日子,出借人的焦虑和无奈心情小付看着非常难受。付融宝一直在努力解决逾期问题。但是在整个网贷行业陷入低迷的时刻,仍然有很多借款人想着钻空子,期望平台垮了钱不用还了。小付相信,正义会迟到,但绝不会不来,付融宝已经上报第一批逃废债名单,以后会分批逐步公布其他逾期不还借款人名单。为维护良好的信用记录,请逾期的借款人务必及时还款。
还款联系电话:400 9007 771
工作时间:9:00-20:30
发表回复